资阳市雁江一中评职晋级信息化中心
欢迎访问资阳市雁江一中评职晋级信息化中心,本中心对参评教师的材料及详细评分进行公示,通过信息化管理做到评职晋级工作公平、公开、公正!
站内搜索:
加分材料
您当前的位置:首页 >> 加分材料
刘小燕142教研获奖县区级一(壹)等奖2024-09

20241024165621129刘小燕142教研获奖县区级一(壹)等奖2024-09-29
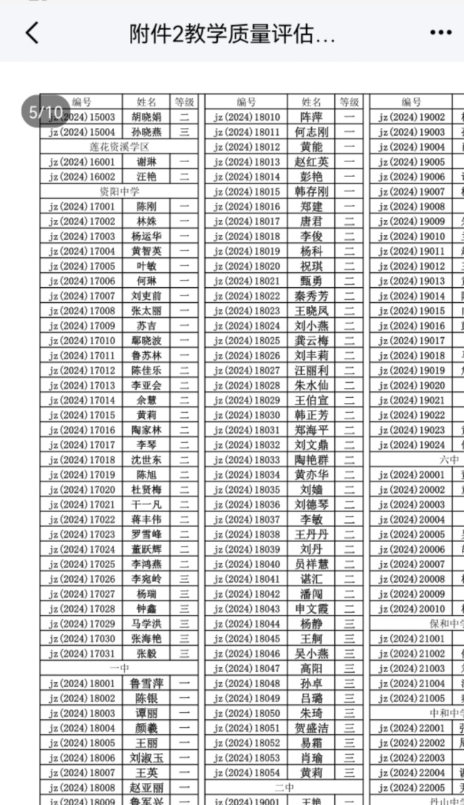
刘小燕142教学质量评估获奖县区级二(贰)等奖202

20241024161203393刘小燕142教学质量评估获奖县区级二(贰)等奖2024-06-30
刘小燕142临时工作先进市级一(壹)等奖2021-1

7812刘小燕142临时工作先进市级一(壹)等奖2021-10-17
刘小燕142普通荣誉校级(镇乡)未评奖或其他2023

7775刘小燕142普通荣誉校级(镇乡)未评奖或其他2023-07-01
刘小燕142临时工作先进校级(镇乡)未评奖或其他20

7788刘小燕142临时工作先进校级(镇乡)未评奖或其他2023-04-14
刘小燕142临时工作先进校级(镇乡)未评奖或其他20

7787刘小燕142临时工作先进校级(镇乡)未评奖或其他2020-12-01
刘小燕142教学质量评估获奖县区级三(叁)等奖202

7789刘小燕142教学质量评估获奖县区级三(叁)等奖2022-09-30
刘小燕142年度考核县区级未评奖或其他2024-08

20241024154123353刘小燕142年度考核县区级未评奖或其他2024-08-01
刘小燕142普通荣誉县区级未评奖或其他2024-09

20241024172528878刘小燕142普通荣誉县区级未评奖或其他2024-09-09
档案号以及证书有效时间  评职文件  晋级文件  首页 上100页 上10页 上1页  第 195下1页 下10页 下100页 末页  共 5204672
本站所有资源未经许可不得转载复制,违者必究。
评审入口       地址:四川省资阳市雁江区商业街58号              技术支持:雁江一中信息中心          唐荣 17628588558           管理系统